প্রবাসী কল্যাণ ব্যাংক-এর নিরাপত্তা প্রহরী এর ১৭৬ (একশত ছিয়াত্তর) টি শূন্যপদে নিয়োগের লক্ষ্যে এ ব্যাংকের
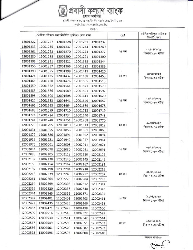
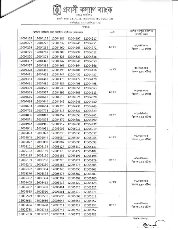
০১/০৬/২০২২ তারিখের নিয়োগ বিজ্ঞপ্তি স্মারক নং- 53.16.2666.999.12.002.২১-৪৬৪ এর প্রেক্ষিতে বিগত ০৩ মার্চ, ২০২৩ তারিখে অনুষ্ঠিত লিখিত পরীক্ষায় উত্তীর্ণ ৮৭৯ (আটশত উনআশি) জন প্রার্থীর মৌখিক পরীক্ষা প্রবাসী কল্যাণ ব্যাংক, প্রধান কার্যালয়, প্রবাসী কল্যাণ ভবন (৩য় তলা), ৭১-৭২, ইস্কাটন গার্ডেন রোড, ইস্কাটন, ঢাকায় নিম্নরূপ তারিখ এবং সময়সূচী অনুযায়ী অনুষ্ঠিত হবে।
প্রবাসী কল্যাণ ব্যাংক নিরাপত্তা প্রহরী পদের মৌখিক পরীক্ষার সময়সূচি ২০২৩






নিরাপত্তা প্রহরী পদের মৌখিক পরীক্ষার শর্তঃ
১. মৌখিক পরীক্ষার জন্য আলাদা কোন প্রবেশপত্র ইস্যু করা হবেনা। ইতঃপূর্বে অনুষ্ঠিত শারীরিক যোগ্যতার পরীক্ষার প্রবেশপত্র মৌখিক পরীক্ষার প্রবেশপত্র হিসেবে গণ্য হবে। মৌখিক পরীক্ষার জন্য নির্ধারিত সময়ে প্রার্থীদেরকে অবশ্যই রিপোর্ট করতে হবে। বিলম্বে রিপোর্ট করার কোন কারণ কর্তৃপক্ষের নিকট গ্রহণযোগ্য হবে না।
২. প্রার্থীগণকে নিয়োগ বিজ্ঞপ্তির শর্ত মোতাবেক অনলাইন আবেদনে উল্লিখিত তথ্যাদির সমর্থনে নিম্নবর্ণিত প্রমাণক দলিলাদির মূলকপি এবং ১ সেট সত্যায়িত ফটোকপি নিম্নের ক্রমানুসারে সাজিয়ে মৌখিক পরীক্ষার অব্যবহিত পূর্বে অবশ্যই মৌখিক পরীক্ষার বোর্ডের সহযোগীদের নিকট জমা দিতে হবেঃ
- ক. জাতীয় পরিচয় পত্রের কপি;
- খ. অনলাইনে পূরণকৃত আবেদন ফরম (Application Form) এর কপি;
- গ. সদ্য তোলা ০৪ কপি রঙ্গিন পার্সপোর্ট সাইজের সত্যায়িত ছবি (ছবির পিছনে প্রার্থীর নাম ও রোল নম্বর লিখতে হবে);
- ঘ. শারীরিক যোগ্যতার পরীক্ষার প্রবেশপত্র;
- ঙ. শিক্ষাগত যোগ্যতার সনদপত্র;
- চ. অভিজ্ঞতার সনদপত্র;
- ছ. নিরাপত্তা কাজে প্রশিক্ষণের সনদ;
- জ. সরকারী মেডিকেল অফিসার এর নিকট থেকে দৃষ্টি শক্তি পরীক্ষাপূর্বক এ সংক্রান্ত সনদ সংগ্রহ করে মৌখিক পরীক্ষার বোর্ডে দাখিল করতে হবে।
- ঝ. জেলার স্থায়ী বাসিন্দার প্রমাণক হিসেবে ইউনিয়ন পরিষদ/পৌরসভা/সিটি কর্পোরেশন কর্তৃক প্রদত্ত নাগরিকত্ব সনদ;
- ঞ. বীর মুক্তিযোদ্ধা/শহীদ বীর মুক্তিযোদ্ধাদের পুত্র-কন্যা/ পূত্র-কন্যার পুত্র কন্যা সনদধারী প্রার্থীদেরকে এতদ্সংক্রান্ত প্ৰমাণক সনদপত্র;
- ট. এতিম প্রার্থীদের ক্ষেত্রে উপযুক্ত কর্তৃপক্ষ কর্তৃক ইস্যুকৃত প্রমাণক সনদপত্র;
- ঠ. ক্ষুদ্র নৃ-গোষ্ঠীর প্রার্থীদেরকে এতদ্সংক্রান্ত প্রমাণক সনদপত্র;
- ড. প্রতিবন্ধী প্রার্থীদের ক্ষেত্রে উপযুক্ত কর্তৃপক্ষ হতে প্রতিবন্ধীতার স্বপক্ষে প্রদত্ত সনদপত্র;
- ঢ. আনসার ও ভিডিপি প্রার্থীদেরকে উপযুক্ত কর্তৃপক্ষ কর্তৃক ইস্যুকৃত প্রমাণক সনদপত্র;
- ণ. চাকুরীরত প্রার্থীদের ক্ষেত্রে তাঁদের স্ব স্ব নিয়োগকারী কর্তৃপক্ষের অনাপত্তিপত্র।
বিশেষ দ্রষ্টব্যঃ
- ক) প্রার্থী কর্তৃক দাখিলকৃত অসম্পূর্ণ/ত্রুটিপূর্ণ তথ্য/ দলিলাদির কারণে নিয়োগ প্রক্রিয়ার যে কোন পর্যায়ে প্রার্থীর সাথে কোন যোগাযোগ ছাড়াই প্রার্থীতা বাতিল করার অধিকার প্রবাসী কল্যাণ ব্যাংক সংরক্ষণ করে।
- খ) পরীক্ষায় অংশগ্রহণের জন্য কোন প্রকার টিএ/ডিএ প্রদান করা হবেনা।
- গ) প্রার্থীকে অবশ্যই মাস্ক পরিধান করে আসতে হবে এবং কোভিড-১৯ সংক্রান্ত স্বাস্থ্যবিধি মেনে চলতে হবে।
Campustimesbd.com Jobs and Education news update regularly.