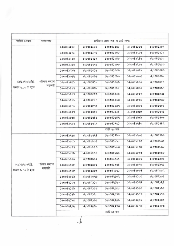
পরিবার পরিকল্পনা অধিদপ্তরাধীন কিশোরগঞ্জ জেলার ৩য় ও ৪র্থ শ্রেণির ০৪(চার) ক্যাটাগরী পদের জনবল নিয়োগ ২০২১ এর লিখিত পরীক্ষায় উত্তীর্ণ প্রার্থীদের মৌখিক পরীক্ষা সংক্রান্ত গণবিজ্ঞপ্তি প্রকাশ। পরিবার পরিকল্পনা অধিদপ্তরাধীন কিশোরগঞ্জ জেলা পরিবার পরিকল্পনা কার্যালয়ে ০৪ (চার)টি ক্যাটাগরি পদ যথাক্রমে পরিবার পরিকল্পনা সহকারী, পরিবার পরিকল্পনা পরিদর্শক, পরিবার কল্যাণ সহকারী এবং আয়া পদে নিয়োগের লক্ষো ২৫ / ১১ / 2022খ্রি. তারিখে অনুষ্ঠিত লিখিত পরীক্ষায় উত্তীর্ণ প্রার্থীদের মৌখিক পরীক্ষা নিম্নলিখিত সময়সূচী অনুযায়ী জেলা প্রশাসক কিশোরগঞ্জ মহোদয়ের অফিস কক্ষে অনুষ্ঠিত হবে।
আরও পড়ুন:
- পরিবার পরিকল্পনা ভাইভা প্রস্তুতি ২০২২
- All District Family Planning Admit Card and Exam Date
- Family planning question solution 2022 – pdf download now
- পরিবার পরিকল্পনা অধিদপ্তরের ভাইভা অভিজ্ঞতা ২০২২
কিশোরগঞ্জ জেলা পরিবার পরিকল্পনা কার্যালয় মৌখিক পরীক্ষা ২০২২ – DGFP kishoreganj Viva





Campustimesbd.com Jobs and Education news update regularly.