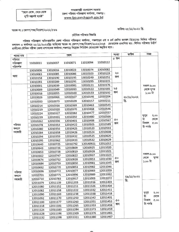
পরিবার পরিকল্পনা অধিদপ্তরাধীন জেলা পরিবার পরিকল্পনা কার্যালয়, পঞ্চগড়ের ৩য় ও ৪র্থ শ্রেণির জনবল নিয়োগের লিখিত পরীক্ষার ফলাফল এ কার্যালয়ে ২৫/১১/২০২২খ্রিঃ তারিখের স্মারক নং জেপপ/পঞ্চ/নিয়োগ/২০২২/৫৬৪ মোতাবেক প্রকাশিত হয়। লিখিত পরীক্ষায় উত্তীর্ণ প্রার্থীদের মৌখিক পরীক্ষা জেলা প্রশাসকের কার্যালয়, পঞ্চগড়ে নিম্নোক্ত শিডিউল মোতাবেক অনুষ্ঠিত হবে।
আরও পড়ুন:
- পরিবার পরিকল্পনা ভাইভা প্রস্তুতি ২০২২
- All District Family Planning Admit Card and Exam Date
- Family planning question solution 2022 – pdf download now
- পরিবার পরিকল্পনা অধিদপ্তরের ভাইভা অভিজ্ঞতা ২০২২
পঞ্চগড় জেলা পরিবার পরিকল্পনা কার্যালয় মৌখিক পরীক্ষা ২০২২ – DGFP panchagarh Viva


২। লিখিত পরীক্ষায় উত্তীর্ণ বর্ণিত রোল নম্বরধারী প্রার্থীগণকে নিয়োগ বিজ্ঞপ্তি এর ৮ (আট) নং শর্ত ও প্রবেশপত্রে উল্লেখিত শর্ত মোতাবেক নিম্নোক্ত সনদ/কাগজপত্রের ফটোকপি গেজেটেড কর্মকর্তা কর্তৃক সত্যায়ন করে ০১(এক) সেট কাগজপত্র মৌখিক পরীক্ষার কমপক্ষে ৩০ (ত্রিশ) মিনিট পূর্বে নির্ধারিত ডেস্কে জমা দিতে হবে।
(ক) প্রার্থীর সকল শিক্ষাগত যোগ্যতার সনদপত্র (প্রযোজ্যক্ষেত্রে অভিজ্ঞতার সনদপত্রসহ)
(খ) প্রার্থী যে ইউনিয়ন/পৌরসভার/সিটি কর্পোরেশন এর স্থায়ী বাসিন্দা সে ইউনিয়ন পরিষদের চেয়ারম্যান/পৌরসভার মেয়র/সিটি কর্পোরেশন কাউন্সিলর কর্তৃক প্রদত্ত নাগরিকত্বের সনদপত্র।
(গ) মহিলা কোটা ব্যতিত অন্যান্য কোটা দাবির সমর্থনে প্রার্থীকে যথাযথ কর্তৃপক্ষ কর্তৃক প্রদত্ত সনদপত্র/প্রমাণপত্র।
(ঘ) আবেদনকারী মুক্তিযোদ্ধা/শহীদ মুক্তিযোদ্ধার পুত্র-কন্যা ও পুত্র কন্যার পুত্র কন্যা হলে মুক্তিযোদ্ধার সনদপত্র, গেজেট লালমুক্তিবার্তা/ভারতীয় তালিকার ফটোকপি দাখিল করতে হবে।
(ঙ) ইউনিয়ন পরিষদের চেয়ারম্যান/পৌরসভার মেয়র/কাউন্সিলর/ সিটি কর্পোরেশন এর ওয়ার্ড/প্রথম শ্রেণীর গেজেটেড কর্মকর্তা কর্তৃক চারিত্রিক সনদপত্র।
(ছ) জাতীয় পরিচয়পত্র/জন্মনিবন্ধন সনদের সত্যায়িত অনুলিপি।
(জ) অনলাইনে পুরণকৃত আবেদনের ফটোকপি ও রঙ্গিন প্রবেশপত্র।
৩। মৌখিক পরীক্ষার বোর্ডে সকল সনদের মূলকপি উপস্থাপন করতে হবে।
৪। অনিবার্য কারনবশত কর্তৃপক্ষ পরীক্ষার দিন, তারিখ, সময় ও ভেন্যু পরিবর্তন করার ক্ষমতা সংরক্ষণ করেন।
৫। নিয়োগ বিজ্ঞপ্তিতে প্রকাশিত সকল শর্তাবলি প্রযোজ্যক্ষেত্রে বলবৎ থাকবে।
৬। নিয়োগ সংক্রান্ত বিষয়ে কর্তৃপক্ষের সিদ্ধান্তই চূড়ান্ত বলে গণ্য হবে।
Campustimesbd.com Jobs and Education news update regularly.