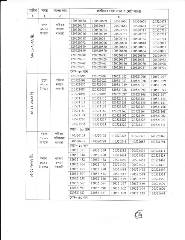
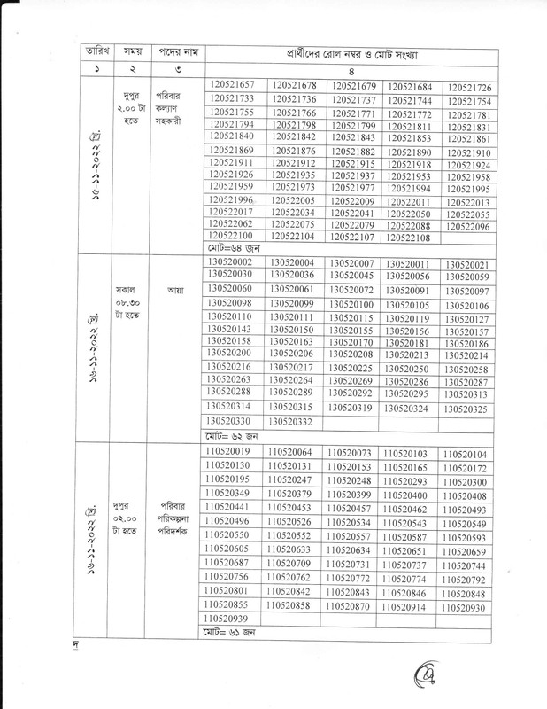
মৌলভীবাজার জেলা পরিবার পরিকল্পনা পরীক্ষার ফলাফল ২০২২ – dgfp Maulvibazar Results. জেলা পরিবার পরিকল্পনা কার্যালয়, মৌলভীবাজার এর বিভিন্ন পদের লিখিত পরীক্ষার ফলাফল ২০২২। মৌখিক পরীক্ষার তারিখঃ ১৩-১৬ নভেম্বর ২০২২। মৌলভীবাজার জেলার পরিবার পরিকল্পনা বিভাগের ৩য় ও ৪র্থ শ্রেণির জনবল নিয়োগের জন্য লিখিত পরীক্ষায় উত্তীর্ণ প্রার্থীদের মৌখিক পরীক্ষার সময়সূচী প্রকাশ।
পরিবার পরিকল্পনা অধিদপ্তরাধীন জেলা পরিবার পরিকল্পনা বিভাগ, মৌলভীবাজার -এর ০৪ (চার) ক্যাটাগরির পদ যথাক্রমে পরিবার পরিকল্পনা সহকারী, পরিবার পরিকল্পনা পরিদর্শক, পরিবার কল্যাণ সহকারী এবং আয়া পদে নিয়োগের লক্ষ্যে ১১ নভেম্বর ২০২২ খ্রি. অনুষ্টিত লিখিত পরীক্ষায় উত্তীর্ণ প্রার্থীদের মৌখিক পরীক্ষা নিম্নলিখিত সময়সূচী অনুযায়ী জেলা প্রশাসক, মৌলভীবাজার মহোদয়ের অফিস কক্ষে অনুষ্ঠিত হবে।
dgfp Maulvibazar Results:
আরও পড়ুন:
- All District Family Planning Admit Card and Exam Date
- Family planning question solution 2022 – pdf download now
- পরিবার পরিকল্পনা অধিদপ্তরের ভাইভা অভিজ্ঞতা ২০২২
মৌলভীবাজার জেলা পরিবার পরিকল্পনা পরীক্ষার ফলাফল ২০২২ – dgfp Maulvibazar Results




মৌখিক পরীক্ষা জন্য প্রার্থীদের প্রতি বিশেষ নির্দেশনাঃ
১। লিখিত পরীক্ষায় উত্তীর্ণ বর্ণিত প্রার্থীগণকে নিয়োগ বিজ্ঞপ্তির ৮ নং শর্ত ও প্রবেশপত্রে উল্লেখিত শর্ত মোতাবেক নিম্নলিখিত সনদপত্র/ কাগজপত্রের ০১ (এক) সেট সত্যায়িত অনুলিপি (গেজেটেড কর্মকর্তা ন্যুনতম ৯ম গ্রেড কর্তৃক সত্যায়িত) মৌখিক পরীক্ষা বোর্ডের নির্ধারিত ডেস্কে পরীক্ষা শুরু হওয়ার ৩০ (ত্রিশ) মিনিট পূর্বে জমা দিতে হবে এবং সকল সনদপত্রের মূল কপি মৌখিক পরীক্ষা বোর্ডে উপস্থাপন করতে হবে।
- ক. প্রার্থীর সকল শিক্ষাগত যোগ্যতার সনদপত্র (প্রযোজ্য ক্ষেত্রে অভিজ্ঞতা সনদপত্র);
- খ. প্রার্থী যে ইউনিয়ন/পৌরসভা এর স্থায়ী বাসিন্দা সে ইউনিয়ন/পৌরসভা এর চেয়ারম্যান/মেয়র প্রদত্ত নাগরিক সনদপত্র;
- গ. মহিলা কোটা ব্যাতীত অন্যান্য কোটার দাবীর সমর্থনে প্রার্থীকে যথাযথ কর্তৃপক্ষ প্রদত্ত সনদ/প্রমাণপত্র;
- ঘ. আবেদনকারী শহীদ মুক্তিযোদ্ধা/শহীদ মুক্তিযোদ্ধার পুত্র-কন্যা ও পুত্র-কন্যার পুত্র-কন্যা হলে আবেদনকারী শহীদ মুক্তিযোদ্ধা/শহীদ মুক্তিযোদ্ধার পুত্র-কন্যা ও পুত্র-কন্যার পুত্র-কন্যা এ মর্মে সংশ্লিষ্ট ইউনিয়ন পরিষদের চেয়ারম্যান/পৌরসভার মেয়র/পৌরসভার কাউন্সিলর কর্তৃক প্রদত্ত সনদ (সনদে আবেদনকারীর সাথে মুক্তিযোদ্ধা ও শহীদ মুক্তিযোদ্ধার সম্পর্ক অবশ্যই উল্লেখ করতে হবে) ;
- ঙ. আবেদনকারী শহীদ মুক্তিযোদ্ধা/শহীদ মুক্তিযোদ্ধার পুত্র-কন্যা ও পুত্র-কন্যার পুত্র-কন্যা হলে মুক্তিযোদ্ধার সনদ, গেজেট, লাল মুক্তি বার্তা/ভারতীয় তালিকার ছায়ালিপি;
- চ. ইউনিয়ন পরিষদের চেয়ারম্যান/পৌরসভার মেয়র/কাউন্সিলর/সিটি কর্পোরেশনের ওয়ার্ড কাউন্সেলর/ গেজেটেড কর্মকর্তা (ন্যুনতম ৯ম গ্রেড) কর্তৃক প্রদত্ত চারিত্রিক সনদপত্র;
- ছ. জাতীয় পরিচয়পত্র/জন্ম নিবন্ধন সনদ;
- জ. Online -এ পূরণকৃত আবেদনপত্রের কপি (Applicant’s Copy);
২। মৌখিক পরীক্ষার দিন, তারিখ, সময় ও ভেন্যু পরিবর্তন করার ক্ষমতা কর্তৃপক্ষ সংরক্ষণ করেন;
৩। মৌখিক পরীক্ষার জন্য প্রার্থীকে কোন প্রকার টিএ/ডিএ প্রদান করা হবে না;
৪। নিয়োগ সংক্রান্ত বিষয়ে কর্তৃপক্ষের সিদ্ধান্তই চূড়ান্ত বলে গণ্য হবে;
Campustimesbd.com Jobs and Education news update regularly.