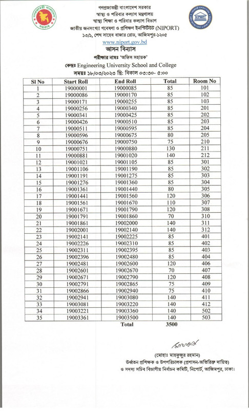
জাতীয় জনসংখ্যা গবেষণা ও প্রশিক্ষণ ইনস্টিটিউট পরীক্ষার সিট প্লান 2023 – Niport Exam Seat Plan. জাতীয় জনসংখ্যা গবেষণা ও প্রশিক্ষণ ইনস্টিটিউট (নিপোর্ট) এর পরীক্ষার আসন বিন্যাস প্রকাশ। পদের নামঃ স্টোর কিপার । পরীক্ষার তারিখঃ ২৫-০৮-২০২৩। আসন বিন্যাস দেখুন নিচে। জাতীয় জনসংখ্যা গবেষণা ও প্রশিক্ষণ ইনস্টিটিউট (NIPORT)। ‘অফিস সহায়ক’ পরীক্ষার সময়ঃ ২৫/০৮/২০২৩ খ্রি: বিকাল ১০:০০- ১১:৩০।
জাতীয় জনসংখ্যা গবেষণা ও প্রশিক্ষণ ইনস্টিটিউট স্টোর কিপার পরীক্ষার সিটপ্লান 2023



জাতীয় জনসংখ্যা গবেষণা ও প্রশিক্ষণ ইনস্টিটিউট (নিপোর্ট) এর চাকরির পরীক্ষার আসনবিন্যাস প্রকাশ। পদের নামঃ হাউজ কিপার। পরীক্ষার তারিখঃ 11/03/2023 তারিখ। জাতীয় জনসংখ্যা গবেষণা ও প্রশিক্ষণ ইনস্টিটিউট পরীক্ষার সিটপ্লান 2023 – Niport Exam Seat Plan.
| ‘হাউজ কিপার’ পদের লিখিত পরীক্ষার আসন বিন্যাস | ২০২৩-০৩-১০ |
জাতীয় জনসংখ্যা গবেষণা ও প্রশিক্ষণ ইনস্টিটিউট পরীক্ষার সিটপ্লান 2023



Campustimesbd.com Jobs and Education news update regularly.
